Revo Stage 3 Upgrade
Revo Stage 3 For
the Cupra 280
Revo quote power from 444 to
503 bhp dependant on Fuel and conditions.
Torque from 485 to 535 nm dependant
on Fuel and conditions.
The
general consensus is the higher the number the better, numbers sell. A 300hp
car sounds much better than a 280hp car! But in reality, what can you tell by
these numbers?
First
of all quoted power and torque numbers are peak
figures, they are the highest seen figures on a power or torque curve. They
tell you what power and torque a vehicle is making on that dyno
but those figures are really only useful for bragging rights at the bar with
your friends. For a true indication of how a vehicle will feel and where the
benefits of tuning can be seen you need to assess the power and torque curves,
as they say it’s the ‘power under the curve’ that makes the difference.
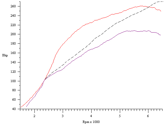
In
the below example there are three power curves, the purple is stock, the red is
Revo and the dashed blue line is hypothetical:

On
paper, the dashed blue line makes the most power as it peaks nearly 10bhp
higher, however from 2400rpm through to 6000rpm the red curve makes a lot more
power. At 3500rpm the red curve is 50bhp more than the dashed blue curve. On
the road, a car running the red curve (with a lower power output) would be a
much quicker car. This is a good example of how a peak number can be very
deceptive and not tell the full story. You can see the difference in the area
under the curves and how much more the red curve has gained throughout the rev
range in comparison to the dashed blue curve.
Whilst
an understanding of peak figures and power under the curve is important, it’s
just as important to understand that rolling road results can and do vary and
aren’t always a true representation of what a car will do in the real world.
Rolling road Dyno’s are a fantastic way to measure the power of a vehicle,
however, they can also lead to many an unhappy and confused car owner as
results can often be misread due to a general lack of understanding of the
limitations, drawbacks and also benefits of a rolling road. Here are a few
fundamental things you should know about rolling roads:
It
is impossible for a rolling road to simulate real-world driving. Rolling roads
provide a linear load on the engine and do so with a slow pull from low RPM’s
to redline. It can take up to 45 seconds to reach redline. This amount of time
and constant load on an engine and turbocharger will inevitably raise intake
temperatures well beyond what the real world driving
will see. These temperatures will cause the engine to pull back the load values
the ECU sees, thus limiting power.
It
is very common for a car to have less rolling road performance and yet maintain
fantastic power on the street or track. This can be attributed to several
factors.
The
fan in front of the car is providing a linear flow of air, usually to a small
portion of the frontal area of the vehicle, real-world conditions prove airflow
is proportionately increased as speed is increased. This isn’t replicated with
the airflow on a dyno. Plus, the fans are often pointed at the middle of the
vehicle; many intercoolers are placed on the side of the vehicle and receive
almost no cooling effect from these fans. This causes the air intake
temperature to be well outside of what we will see in the real world. The
higher these temperatures are the lower power output will be. The further these
values are from the actual road conditions the less accurate the dyno run will
be.
Heat-soak
occurs in both of the above examples. This is what happens when a car/engine
doesn’t get adequate cooling for the given running conditions and the ECU will
be forced to adapt to counter the additional heat. When a car suffers badly
suffers from heat-soak the ECU will typically go into an EGT (Exhaust Gas
Temperature) protection mode; lowering the requested load value and increase
the amount of fuel to cool things down, this results in the curve tailing off
much quicker than expected and a lower than realistic power output.
The
majority of rolling roads will load a vehicle up during a power run in a
certain way, this can vastly affect how the car ‘behaves’ on the rolling road
as the ECUs are load based all requests to the engine are calculated based on
the feedback the ECU has from the engine and the load it’s under.
This
doesn’t even take into account any potential issues that could be inherent with
a car, the amount of heat already in the car before it goes on the dyno, or any
inconsistencies between operators and rolling road calibration.
Wheel
and flywheel figures can be a source of confusion, and there’s a danger of
back-calculating flywheel figures from a chassis dyno. Power at the wheels is
more meaningful and fairly accurate so long as the ambient and intake temps are
reasonable. Certain rolling roads calculate force applied at the rollers,
everything from there on is a mathematical equation and as such don’t necessarily
give you accurate figures.
One
of the biggest mistakes made is to take a figure given from a Rolling Road as
gospel. There are so many varying factors between different rolling roads that
can affect the output: calibration, temperature, operator, tyre pressures, etc.
that vastly different figures can be seen from one rolling road to the next.
Realistically a Rolling road can be a great comparative tool to show
differences additional components make, but in the guise of a rolling road
‘shoot-out’ for a one-off reading, they are a waste of time. A figure or power
curve only shows what the car is doing on that dyno, on that day in those
conditions.
Using
a Rolling Road to show the difference between cars or show the increase from
software can also be unrealistic without correct preparation. If you have two
identical cars running the same quality fuel, tyre pressures, etc. you can
still have a variable within the ECU due to differing driving styles and
conditions the cars see. One car might have been used much more aggressively
than the other and have a much larger correctional factor due to adaptation
from excessive heat. This can vastly affect the power output of a vehicle.
Something else to be aware of is after programming an ECU the car will take a
certain period of driving time to adapt, this period of time is dependent on
driving style and conditions.
The
peak numbers you get on a rolling road are typically referred to as ‘Pub Talk’
numbers; who has the most power and torque! In reality, the Peak numbers are
largely irrelevant; it’s the power/torque throughout the rev range and the
power delivery that’s important the peak number gives very little information
to how capable a vehicle is or how well it drives. Peak figures don’t give you
any indication of drivability or even a true indication of increased
performance as they ignore the power/torque curve and can’t tell you how
smooth, powerful and efficient the power is delivered. This is what makes a car
more drivable and thus more enjoyable.
My quote is WOW it’s an upgrade that keeps on giving and I just love
it, There are other more powerful and aggressive mapps
out there and some of them are very good but at this power point you are close
to stuff going badly wrong and personally I have always found revo to build for longevity and drivability.
I had this done to my car in
2018 and I can get just over 40 mpg when cruising at 70mph on the motorway or
11 mpg when chucking the car round the race track.
In order to get the best out
of the EA888 Engine you will need to replace the Turbo
In my case I went with the
Revo IS38ETR Upgrade which uses the existing body but modified internals and
connections.


The high-performance Revo IS38ETR offers a significant upgrade over the
stock IS38 whilst maintaining the original fitment and compressor and turbine
housings. The compressor and turbine housings have been CNC re-profiled to
match the larger wheels and stronger shaft, also allowing room for a bespoke
heatshield matched to the increased internal diameters. Strength is a key
factor to the IS38ETR, a replacement back-plate machined from a billet piece
offers a greater resistance to warping. The larger bearing housing has also
been upgraded to make room for a specifically designed bearing system,
incorporating a reinforced thrust bearing. Precision balanced to levels above
the OEM specification reduces vibration to the lowest possible level and
improves performance and reliability of the turbocharger.
Having upgraded the Turbo it is very important
to improve the flow of fuel, and air into and out off
the system to this end I ultimately upgraded the intake system the revo open cone system.

And on the car engine bay looks like this

As part of the kit that delivers the cold air to the turbo
I replaced the front air scoop with the Revo Carbon Version

And the kit provides a single piece pipe from the open cone to the
Turbo, this improves the flow of air into the turbo and is further enhanced
with a machined billet inlet again reducing the interruption to smooth airflow.


On the other side of the turbo we have a revo
turbo muffler delete, this does provide a small amount of extra noise but more
importantly provides smooth flow to the output gases.

Next part of the upgrade process is improved intercooler and pipework
|
How it
works |
Main
Benefits |
|
|
The Revo Intercooler and upgraded pipework
improve the cooling and for very hot use there is also a
inbuilt Water Meth Bung Pipework
Intercooler
|
|
|
|
As you can see there is a big difference in the outlet temperatures
between the stock and Revo intercoolers which in turn improves performance.
New Revo Intercooler
old vs new picture.

And the improved pipework
The benefits of the pipe upgrade is it allows
the turbo to run more efficiently, moving a larger volume of air and minimising
turbulence.
This increases power and torque, especially in the middle of the rev
range as highlighted during controlled Dyno testing.


Revo Software Features
In simple terms this feature
reduces the power of the Turbo until the oil is up to temp and therefore fully
protecting the engine.
· Oil below
50ºC: Boost limited to 50% - The Oil Temp Gauge will not show any temp.
· Oil between
51ºC and 65ºC: Boost limited to 75% - From memory 50 is the lowest temp that is
shown on the oil temp gauge.
· Oil above
65ºC: Full boost available
In high-temperature conditions (rolling road, high ambient temps, and
prolonged Vmax use) oil temperatures can climb to an undesirable level. Revo
Temperature Protection is an additional safety feature that reduces overall
load as the oil temperature hits a set limit. The oil cooler valve opens sooner
with Revo Software to ensure earlier cooling of oil. This feature actively
monitors exhaust gas temperatures, adapting the requested load (power) to
ensure they stay within safe parameters. If EGT's reach a set temperature, then
power is automatically reduced until the engine returns to a safe operating
temperature.
VAG Coded Speed Limit Removed
All VAG Cars come with a hard coded speed
limiter, the stage 3 software removes that limit
RPM Limit has been increased
To get the most out of the EA888 Engine the rev limit has been
increased.
And then to add to the Revo engine upgrades
At the time I had the upgrade done this was not on the list of things
you needed to do but since then I notice they are now marking this as a
required hardware upgrade.
To get the fuel you need in the higher revs a high pressure pump is
fitted, this has no impact on the low pressure output that is used to keep the
valves clean and based on my own usage does not impact fuel consumption during
daily driving, however you do notice the difference when using the power of the
engine, there is more fuel provided and burnt thus keeping the power at much
higher revs.


Upgraded diverter valve
Another of the corner’s that were cut by VAG when they put the original
engine together.

The EA888
engine is using ECU controlled solenoid-type diverter valves. This is a good
concept because the valve can react very quickly, and it only opens when it
needs to. However, there are some problems. Since they first appeared in 2006,
there has been at least 5 different revisions owing to reliability issues.
Without going into detail of the revision history, the latest revision C found
on the top end VAG cars can still be improved upon. Whilst it is stronger and
leaks less than previous revisions, it is still limited by its operating
principle – being a direct solenoid operated valve, it can only operate in two
states, open or shut. Unfortunately, cars don’t typically operate in two states
– your accelerator isn’t a switch, and progressive relief of boost pressure
during partial throttle closure is not possible with the factory diverter.
|
Common OE Problem The plastic piston-type leaks far more than most
people realise (by design, not from wear), and doesn’t always close after a
high-boost gear shift. |
Additionally,
because the factory diverter has a long stroke and weak return spring, its
ability to open and close reliably at high boost or in the presence of friction
caused by oil gunk is compromised.
The DV+
addresses the factory valve problems with a very simple and elegant solution.
Keeping the factory solenoid retains all the benefits of the stock system, and replacing the valve parts with indestructible
metal components ensures strength and reliability no matter how much boost you
run.
Rather than
using the solenoid to directly actuate the valve, it has a “pilot-actuation”
system. This means the solenoid controls the air pressure that is used to open
and close the piston, so it doesn’t matter how much boost you push through it,
the DV+ will open and close reliably without ever exceeding the solenoid’s
capability.
This
feature also improves on the factory system by opening the valve progressively
in response to boost pressure, so it only opens as much as required to get the
job done (the factory valve simply opens and shuts, it cannot partially open if
boost pressure is low), resulting in better throttle response.

Fitting video can be found here
3” downpipe with sports cat to flow the gasses out quickly

One word of warning on the Exhaust front, it is very important that you
make sure you get a Street exhaust and not a Track one, simply put the Track
exhaust are not designed for longevity (as they are only for track use but
still meeting legal regulations on emmisions)
SPS (Serial Port Switch)

SPS+ Software can be downloaded directly from here
but only works on Microsoft device
The SPS Switch allows you to switch between different settings (you have
multiple maps installed on your ECU.
For stage one you get a stock setting which is great if you are taking
car in for service or MOT along with a very handy Anti Theft
setting. The Anti Theft setting allows the engine to
be started but then turns off the fuel pump so it’s not possible to take the
car away.
For Stage 3
the Revo software is switchable between four performance modes.
For stage 3
there is no Stock mode due to stage 3 vehicles not running standard components or Anti-Theft
mode.
My car is
run on V Power 99 Ron or Tesco Momentum and I use this
to increase to 102 ron when not at the track